Langkau ke kandungan utama
Portal Rasmi
Majlis BandaRaya diraja Klang
icon-accessibility Tetapan
M
L
XL
XXL
C
C
C
C
Sitemap
lamanweb@mbdk.gov.my
Malaysia Coat Of Arms Logo.png
Selangor Coat of Arms Logo
MPKLANG
Malaysia Coat Of Arms Logo.png
Selangor Coat of Arms Logo
MPKLANG
Main navigation
  • Laman Depan
  • MBDK
    main-navigation
    • Profil
      • Latar Belakang
      • Piagam Pelanggan
      • Dasar Kualiti MBDK
      • Pencapaian dan Pengiktirafan
      • Ekosistem Kondusif Sektor Awam (EKSA)
    • Pengurusan
      • Profil Datuk Bandar
      • Perutusan Datuk Bandar
      • Ahli Majlis
      • Carta Organisasi
      • Direktori Ketua Jabatan
      • Jabatan / Bahagian / Unit
      • Direktori
      • Ketua Pegawai Digital (CDO)
    • Sumber
      • Perundangan
      • Pekeliling dan Garis Panduan
      • Pelan Hala Tuju MBDK
      • Data Terbuka
      • Integriti
    • Pautan Kakitangan
      • Sistem Dalaman
      • Talian Kecemasan
  • Perkhidmatan
    • Kemudahan dan Kadar Sewaan
    • Borang Perkhidmatan
    • e-Perkhidmatan
    • Pengurusan Sisa Pepejal
    • Kaunter Bayaran
    • Jawatan Kosong
  • Media
    Background Image
    • Pusat Media
      • Program Terkini
      • Pengumuman
      • Penerbitan
    • Berita
      • Keratan Akhbar
      • Berita
    • Galeri
      • Foto
      • Siaran Langsung
      • Audio
      • Video
  • Info Klang
    Background Image
    • Klang Bandaraya Diraja
      • Sejarah Pentadbiran Klang
      • Jejak Warisan
    • Pelancongan
      • Lokasi Pelancongan
      • Penginapan
      • Tempat Ibadah
      • Tempat Makan
      • Pengangkutan
    • Pendidikan
      • Sekolah
      • Institusi Pengajian Tinggi
    • Perubatan
      • Hospital & Klinik
    • Agensi
      • Sektor Awam
      • Sektor Swasta
  • Komuniti
    • ePenyertaan
    • Undian
  • Hubungi Kami

Breadcrumb

  1. Laman Depan
  2. Tender & Sebutharga

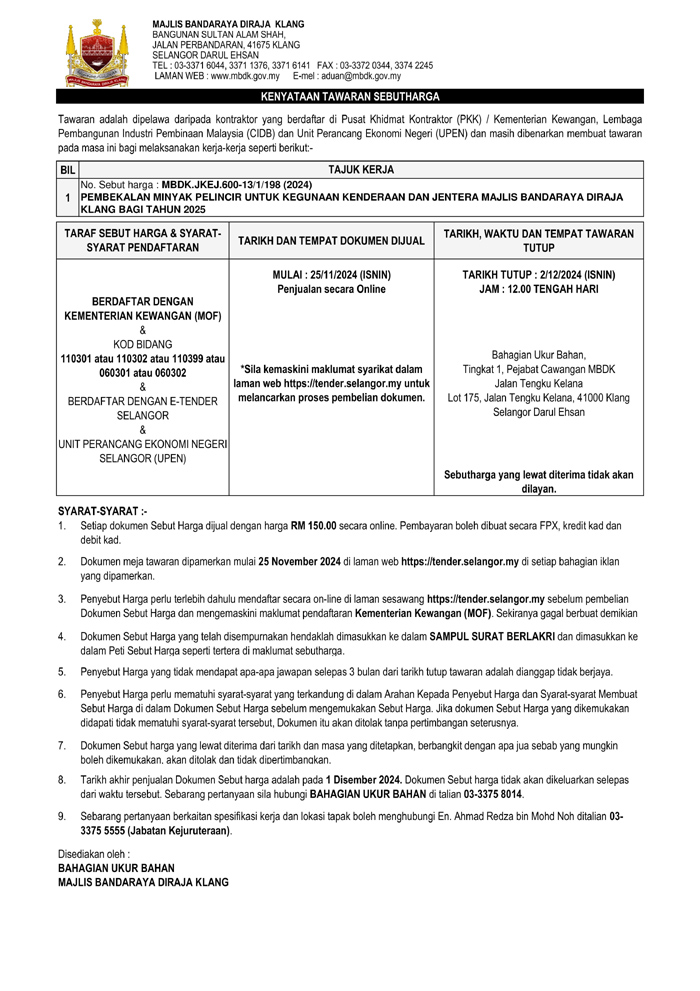
PEMBEKALAN MINYAK PELINCIR UNTUK KEGUNAAN KENDERAAN DAN JENTERA MAJLIS BANDARAYA DIRAJA KLANG BAGI TAHUN 2025

 -  2 Dis 2024
Cover
PEMBEKALAN MINYAK PELINCIR UNTUK KEGUNAAN KENDERAAN DAN JENTERA MAJLIS BANDARAYA DIRAJA KLANG BAGI TAHUN 2025
File
06 PEMBEKALAN MINYAK PELINCIR.pdf
Category
Sebut Harga
Close Date
Isn, 12/02/2024 - 12:00
mygov logo
selangor logo
bpa logo
jata KPKT logo
mampu logo
msc logo
osc logo
mdec logo
mbsa logo
mbpj logo
mbsj ogo
mpkj logo
mps logo
mpaj logo
mpsp logo
mpkl logo
mpks logo
mphs logo
mdsb logo
Logo

MAJLIS BANDARAYA DIRAJA KLANG,
Bangunan Sultan Alam Shah,
Jalan Perbandaran,
41675 Klang,
Selangor Darul Ehsan.

Talian Am03-3375 5555
Faks03-3372 0344
E-meladuan@mbdk.gov.my
Talian aduan03-3375 5555
Talian bebas tol1 800 88 23826
Squad pantas03-3370 1095
Footer
  • Tentang Kami
    • Profil MBDK
    • Organisasi
    • Pengumuman
    • Berita
    • Galeri Media
  • Sokongan
    • Hubungi Kami
    • Soalan Lazim
    • Peta Laman
    • Terma & Syarat
    • Smart Parking MBDK
Tag Cloud

Anything in here will be replaced on browsers that support the canvas element

Tag Cloud

AlamatDirektori KakitanganGaleri
Social Media Menu
  • Facebook
  • Youtube
  • Twitter
  • Instagram
  • Tik Tok
  • Terma & Syarat
  • Dasar Privasi
  • Dasar Keselamatan
  • Penafian
  • Notis Hakcipta

Hak Cipta © 2026 Majlis Bandaraya Diraja Klang. Hak Cipta Terpelihara.